Extinction curves
Extinction curves#
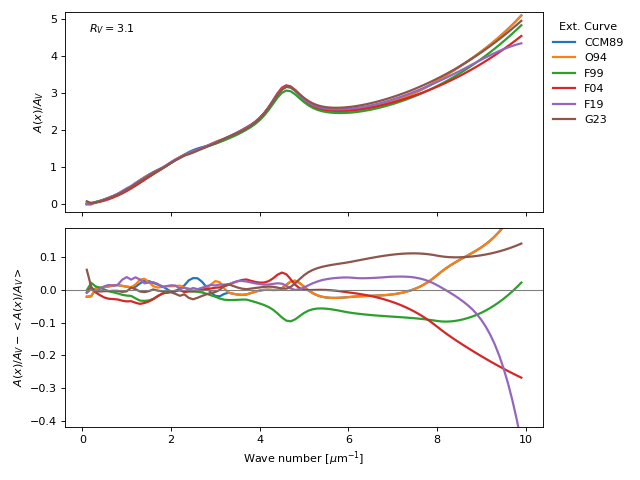
In our application, we need the models that predict spectra or SEDs of star extinguished by dust. Interstellar dust extinguishes stellar light as it travels from the star’s surface to the observer. The wavelength dependence of the extinction from the ultraviolet to the near-infrared has been measured along many sightlines in the Milky Way (Cardelli et al. 1989; Fitzpatrick 1999; Valencic et al. 2004; Gordon et al. 2009) and for a handful of sightlines in the Magellanic Clouds (Gordon & Clayton 1998; Misselt et al. 1999; Maiz Apellaniz & Rubio 2012) as well as in M31 (Bianchi et al. 1996, Clayton et al. 2015).
dustapprox.extinction
provides a common interface to many commonly used extinction curves.
import numpy as np
import matplotlib.pyplot as plt
import astropy.units as u
from dustapprox.extinction import CCM89, F99
#define the wave numbers
x = np.arange(0.1, 10, 0.1) # in microns^{-1}
lamb = 1. / x * u.micron
curves = [CCM89(), F99()]
Rv = 3.1
for c in curves:
name = c.name
plt.plot(x, c(lamb, Rv=Rv), label=f'{name:s}, R(V) = {Rv:0.1f}', lw=2)
plt.xlabel(r'Wave number [$\mu$m$^{-1}$]')
plt.ylabel(r'$A(x)/A(V)$')
plt.legend(loc='upper left', frameon=False, title='Ext. Curve')
plt.tight_layout()
plt.show()
(Source code, png, hires.png, pdf)

Figure 4. Differences between extinction curves. This figure compares a few different presscriptions at fixed \(R_0\).#